🌾 Angkorice Vision

AI-Powered Rice Leaf Disease Detection

Angkorice Vision is a computer vision system that automatically detects and classifies rice leaf diseases using deep learning. It supports farmers and agricultural businesses by providing early disease detection, accurate diagnosis, and actionable treatment recommendations.

Business Problem

Rice diseases reduce crop yields and farmer income. Manual inspection is slow, inconsistent, and requires expert knowledge. Our AI system provides scalable, automated, and accurate detection of seven major rice leaf conditions, helping to improve agricultural productivity.

Model Architecture & Training

We leveraged Xception (pre-trained on ImageNet) using a two-stage training approach:

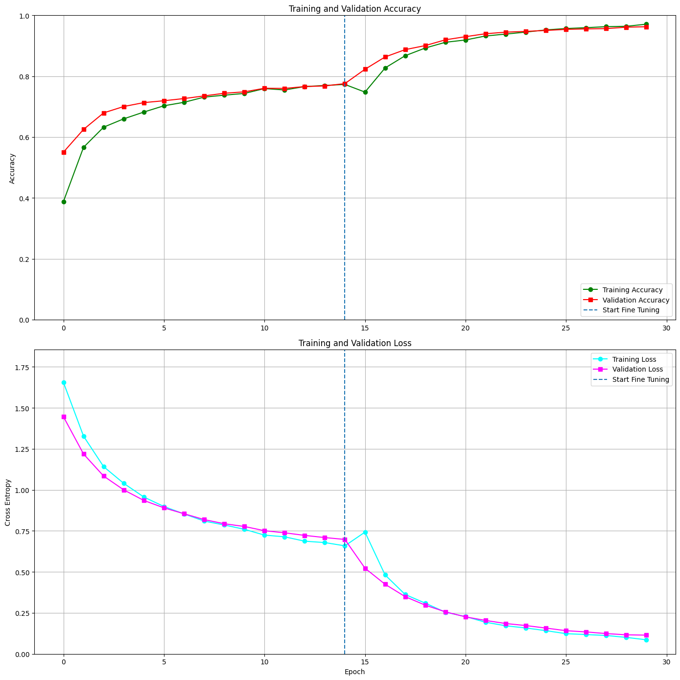
Results Analysis

Training Accuracy and Loss Graph

Feature Extraction Training: For the first 15 epochs, both training and validation accuracy gradually increased from 39% and 47% to 78%. Cross-entropy loss decreased smoothly from 1.66 and 1.45 to 0.66 and 0.70, respectively.

Feature Extraction Training

Fine-Tuning Training: Training and validation accuracies reached 97.10% and 96.26%, respectively.

Fine Tuning Training

Testing With Unseen Dataset

Evaluated on 542 unseen images, the model achieved:

Confusion Matrix

Confusion Matrix

Technologies Used

TensorFlow, Streamlit, Computer Vision, Deep Learning

Video Demonstration

Click the thumbnail to watch Angkorice Vision in action on YouTube.

Angkorice Vision Demo